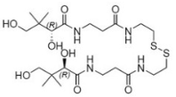
Pantethine, USP/EP/BP
Code:BKP-V-074
CAS No. --
Molar mass: C22H42N4O8S2
·Product Name: Pantethine
·Synonyms:
·CAS:
·Purity / Analysis Method:
·Molecular Formula: C22H42N4O8S2
·Molecular Structure: 
·Physical State (20 °C):
·Applications: The biologically active form of pantothenic acid, a vitamin
·Product Name: DL-α-Tocopheryl acetate powder
·Synonyms:
·CAS:
·Purity / Analysis Method:
·Molecular Formula:
·Molecular Structure:
·Physical State (20 °C):
·Applications: