L-Glutamine Alpha-Ketoglutarate
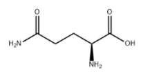
·Product Name: L-Glutamine
·Synonyms: 2,5-Diamino-5-oxpentanoicacid
·CAS: 56-85-9
·Purity / Analysis Method: Ninhydrin test solution, reddish purple
·Molecular Formula: C5H10N2O3
·Molecular Structure: 
·Physical State (20 °C): White crystal or crystalline powder
·Applications: Nutritional supplements and flavoring agents. It is used in medicine to treat digestive organs, ulcers, alcohol poisoning and improve brain function.
·Product Name: DL-α-Tocopheryl acetate powder
·Synonyms:
·CAS:
·Purity / Analysis Method:
·Molecular Formula:
·Molecular Structure:
·Physical State (20 °C):
·Applications: